ЭФФЕКТ ДОПЛЕРА ДЛЯ СВЕТА: ФИЗИКА ИЛИ МАГИЯ? Часть 1

«Инженер» №1,2. 2017

ЭФФЕКТ ДОПЛЕРА ДЛЯ СВЕТА:

ФИЗИКА ИЛИ МАГИЯ?


Наглядным доказательством псевдонаучности специальной теории относительности (СТО) является релятивистский эффект Доплера для света, очевидную абсурдность которого физики-релятивисты удивительным образом не замечают. Для примера приведём рассуждения, лежащие в основе вывода релятивистского эффекта Доплера, и рисунок из «лучшего зарубежного учебника» [1, с. 70].

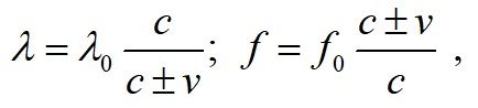
«Рассмотрим источник света, движущийся по направлению к наблюдателю или приёмнику в точке А со скоростью v… За время Δt, за которое источник испустил N волн, первая волна пройдёт в системе отсчёта S расстояние сΔt, а источник vΔt. Следовательно, наблюдатель в А видит, что N волн занимают расстояние сΔt  vΔt и, следовательно, длина волны λ определяется выражением

а частота f = c/λ равна

Продолжая рассуждения, добавим, что наблюдатель в точке В увидит как N волн занимают расстояние сΔt + vΔt и, следовательно, длина волны λ, излучаемой в его направлении, определяется выражением λ = (сΔt + vΔt)/N. Это означает, что в направлении наблюдателей А и В источник излучает фотоны с разными частотами и длинами волн, а сам процесс излучения фотонов зависит от того, относительно какого наблюдателя определяется скорость движения источника. Таким образом, согласно теории относительности процесс излучения фотонов в источнике света производится под конкретного наблюдателя! В этом суть и в этом абсурдность релятивистского эффекта Доплера.

Рис. 1

Только вдумайтесь: фотон при излучении получает смещение частоты в соответствии со скоростью источника относительно конкретного наблюдателя и движется к нему с этим смещением! Такое формирование частоты фотона при излучении возможно только под магическим воздействием наблюдателя. Интересно, при множественности наблюдателей, находящихся в разных инерциальных системах отсчёта (ИСО), какое смещение частоты приобретёт фотон в процессе излучения? Выберет именно того наблюдателя, к которому попадёт и соответственно этому скорректирует свою частоту? А если наблюдатели процесса излучения фотона вообще отсутствуют и некому определять скорости движения света и источника, как тогда фотону определиться со своей скоростью относительно источника и сдвигом частоты? Ответы на эти и другие подобные вопросы, порождаемые релятивистским эффектом Доплера, можно искать в чём угодно, только не в физике.


Процитированные рассуждения имеют аналогию с распространением звука. Однако скорость звука определяется по параметрам и относительно упругой среды, вследствие чего для звука указанные рассуждения являются вполне обоснованными. Именно среда, относительно которой определяются скорости источника, наблюдателя и самого звука, играет связующую роль, позволяющую наблюдателю определять скорости источника и звука независимо друг от друга. Зная свою скорость относительно среды, наблюдатель определит и скорость звука относительно себя самого независимо от скорости источника. Физическая природа света, не являющегося колебаниями упругой среды, исключает такую возможность, поэтому значение скорости света не может быть определено наблюдателем независимо от скорости источника. Таким образом, с точки зрения наблюдателя скорость света зависит от скорости источника, а это возможно только при сложении скоростей света и источника.


Вопреки этому Эйнштейн принял гипотезу несложения скоростей света и источника, а чтобы наблюдатель «не парился» с определением значения скорости света относительно себя самого вывел беспримерную по своей абсурдности (гениальности – согласно современной физике) альтернативную формулировку второго постулата СТО, согласно которой «все наблюдатели получат для скорости света одно и то же значение, независимо от их скорости относительно источника» [1, стр. 31]. Теперь наблюдателю и не надо определять значение скорости света относительно себя самого – благодаря Эйнштейну она известна априори. «Гениально» просто: если законы физики что-то не позволяют, это что-то можно постулировать, возведя в ранг физического закона. Замена в СТО законов физики постулатами Эйнштейна дало естественное следствие – абсурдный результат в эффекте Доплера, который можно объяснить только магическим влиянием наблюдателя на процесс излучения фотонов. Как видно, под магическое влияние постулатов СТО попали не только эйнштейновские наблюдатели, но и сами физики, которые вот уже более ста лет, нисколько не смущаясь, пользуются релятивистским эффектом Доплера, абсурдным по своей физической сущности.


Согласно альтернативной формулировке второго постулата СТО наблюдатель, находящийся в системе отсчёта источника, должен измерить и «получить» значение скорости света с относительно своей ИСО, а не с – v. Поэтому рассуждения о том, что наблюдатель в точке А увидит изменение длины волны излучаемого фотона изначально не соответствуют постулатам СТО, из которых, как утверждается, и следует альтернативная формулировка второго постулата СТО. Утверждение Эйнштейна о том, что все наблюдатели (то есть и в ИСО источника тоже) «получат» для скорости света одно и то же значение с, полностью исключает существование эффекта Доплера для света! Если же считать, что это утверждение не относится к наблюдателю, находящемуся в ИСО источника света, тогда эффект Доплера существует только в случае движения источника света, что противоречит принципу относительности Эйнштейна. И эти явные противоречия последователи Эйнштейна также не желают замечать. 


В процитированном выводе свет движется со скоростью с относительно любого наблюдателя, но не источника света. Такое само по себе абсурдное представление о движении света, которое физически представить невозможно, даёт целый букет таких же абсурдных следствий и противоречий, старательно не замечаемых в современной физике. Помимо излучения света источником под конкретного наблюдателя к таким следствиям относятся абсолютность системы отсчёта, связанной со светом (относительно которой все внешние наблюдатели движутся со скоростью света), или, наоборот, абсолютность систем отсчёта, связанных с наблюдателями, относительно которых один и тот же фотон движется с одной и той же скоростью с, и, конечно, нарушение причинно-следственных связей, когда значение скорости света определяется и может быть измерено относительно любого внешнего наблюдателя, но не источника, породившего свет.


Очевидно, что излучение света (фотонов) источником происходит вне зависимости от каких-либо наблюдателей или того, что окажется приёмником света, и, следовательно, вне зависимости от определения скорости источника света относительно чего бы то ни было. Излучение света – причина, приём (поглощение) света – следствие. Следствие не может влиять на причину – процесс излучения света и формируемое при этом значение частоты фотона. Такое излучение света возможно только при сложении скоростей излучаемого фотона и источника. В этом случае скорость света относительно источника всегда равна с, вне зависимости от движения источника относительно чего бы то ни было, а эффект Доплера определяется скоростью движения света относительно приёмника.


Отсутствие абсурдных следствий и противоречий определяет справедливость классического эффекта Доплера для света, основанного на гипотезе сложения скоростей света и источника – антитезе гипотезы Эйнштейна. Для вывода классического эффекта Доплера для света воспользуемся рис. 1. Вследствие сложения скоростей света и источника фотон движется со скоростью с + v к наблюдателю в точке А. Изменение длины волны и частоты фотона происходит при приёме фотона вследствие его движения со скоростью с + v относительно приёмника. В точке В скорость фотона относительно наблюдателя равна с – v. В итоге изменения длины волны и частоты, возникающие как при движении источника, так и приёмника света, определятся выражениями

 

где знак «+» соответствует сближению источника и приёмника света, а знак «–» их разбеганию.

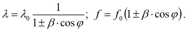
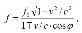
При β = v/c и наличии угла φ между линией наблюдения и направлением движения источника относительно наблюдателя, измеренный в системе координат, связанной с наблюдателем, классический эффект Доплера для света будет иметь вид

Таким образом, эффект Доплера для света, основанный на гипотезе сложения скоростей света и источника, определяется только скоростью движения света (фотона) относительно приёмника, а сами приёмники света не влияют на процесс излучения фотонов источником света. У Эйнштейна, наоборот, скорость света относительно любого приёмника постоянна и равна с, а эффект Доплера возникает вследствие влияния наблюдателя на процесс излучения света источником. Нет никаких сомнений в том, какой из двух вариантов относится к категории псевдонауки.


Открытие корпускулярной природы фотонов – носителей света, к чему «приложил руку» и сам Эйнштейн, а также тот факт, что свет не является колебаниями среды, указывают на то, что процесс «выстреливания» фотонов соответствует классическому представлению о сложении скоростей света и источника. Однако Эйнштейн, отрицая существование «светоносной среды» (эфира), в основу эффекта Доплера для света положил гипотезу несложения скоростей света и источника, по аналогии с эффектом Доплера для звука. Тем не менее, эффекты Доплера для звука и света получились различными. Причины различий, согласно учебникам физики, следующие.


«В акустике доплеровское изменение частоты звука при заданной скорости v зависит от того, движется с этой скоростью источник звука или приёмник. Подобное различие возникает в случае звуковых волн, потому что существует среда (воздух), относительно которой совершается движение. Поэтому неудивительно, что движение источника относительно неподвижного воздуха можно отличить от случая, когда движется приёмник. Различия случаев движущегося источника и приёмника не существует для света и других электромагнитных волн в пустоте в силу второго постулата Эйнштейна. Поэтому классические формулы для эффекта Доплера не справедливы для света» [1, с. 70].


Приводимые причины вводят в заблуждение изучающих физику, так как они не являются причинами различия классического (для звука) и релятивистского (для света) эффектов Доплера в случае неподвижности среды распространения звука. Во-первых, согласно второму постулату СТО, «скорость света в вакууме равна постоянной величине независимо от скорости движения источника» [1, с. 30]. Но скорость звука в воздухе также не зависит от скорости источника и постоянна при неизменности параметров воздуха, поэтому никакого отличия со звуком второй постулат СТО внести не может.


Во-вторых, в СТО эффект Доплера для света рассматривается только в двух крайних случаях относительного движения – движущегося источника при неподвижном приёмнике и движущегося приёмника при неподвижном источнике. Оба случая полностью равноправны в соответствии с принципом относительности Эйнштейна. Неподвижная среда распространения звука позволяет перейти от рассмотрения скоростей источника и приёмника относительно среды к относительным скоростям движения этих объектов друг относительно друга, и рассматривать только два крайних случая относительного движения, точно так же, как это делается для света в СТО. Как следствие, приходим к выводу: в двух случаях относительного движения источника и приёмника с точки зрения СТО эффекты Доплера для света и звука, распространяющегося в неподвижной среде, должны быть полностью идентичны. Различие возникает только в случае движения среды распространения звука.


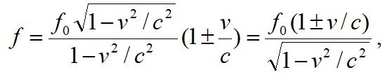
Второй способ вывода эффекта Доплера в СТО показывает, что все отличия, имеющие место между классическим (для звука) и релятивистским (для света) эффектами Доплера, возникают только из-за введения в последнем учёта зависимости течения времени от скорости движения: «При рассмотрении эффекта Доплера в теории относительности можно исходить из классической формулы, но учесть изменение собственной частоты излучателя вследствие релятивистского сокращения времени. Собственная частота движущегося источника

тогда для движущегося источника

                                                                                                                                            (1)

а для движущегося наблюдателя

                                (2)

Сравнивая формулы (1) и (2) при φ = 0, видим, что

т. е. обе формулы совпадают точно, а не только до членов второго порядка относительно v/c. А это означает, что исчезает даже принципиальная возможность обнаружить с помощью эффекта Доплера абсолютное движение относительно эфира» [2, с. 44].


Как видно, ни отсутствие среды распространения света, ни второй постулат СТО не являются причинами различия эффектов Доплера для звука и света, основанных на несложении скоростей света и источника. В СТО в качестве формулы для релятивистского эффекта Доплера принята формула (1), полученная для движущегося источника, а формула (2) для движущегося приёмника благополучно забыта. При этом, чтобы распространить эффект Доплера на движение приёмника, принято считать, что на основании принципа относительности Эйнштейна скорость v в формуле (1) может считаться как скоростью источника, так и приёмника, хотя движение света относительно движущегося приёмника со скоростью, отличной от с, приводящее к эффекту Доплера, противоречит альтернативной формулировке второго постулата СТО.


Таким образом, не существующая для звука одинаковость эффектов Доплера в случаях движения источника и приёмника света возникает вследствие введения релятивистского сокращения времени и, главное, применения принципа относительности! Именно в применении принципа относительности кроется истинная причина различия эффектов Доплера, релятивистского для света и для звука, распространяющегося в неподвижной среде. То есть не принцип относительности следует из физического закона – эффекта Доплера, а физический закон – релятивистский эффект Доплера выведен на основе принципа относительности. Так, исходя из принципов и постулатов, то есть «под теорию», выводятся или подвергаются насильственной модификации не вписывающиеся в теорию физические законы! В случае эффекта Доплера результат такой модификации очевиден.


Принцип относительности движения (источника и приёмника света) в случае классического эффекта Доплера для света, зависящего от скорости света относительно приёмника, правомерен и, главное, естественно следует из самого эффекта, а не определяет его! Действительно, и движение источника, и движение приёмника в итоге сводится к изменению скорости света относительно приёмника, вследствие чего классический эффект Доплера не зависит от того, что движется, источник или приёмник. В релятивистском эффекте Доплера движение приёмника никак не сказывается на самом эффекте, так как скорость света относительно приёмника всегда равна скорости света с согласно альтернативной формулировке второго постулата. Применение в этом случае принципа относительности прямо противоречит этой формулировке, а значит, недопустимо.


Отметим важный факт: совпадение формул (1) и (2) существует в одном единственном случае, когда угол φ между линией наблюдения и направлением движения источника относительно наблюдателя, измеренный в системе координат, связанной с наблюдателем, в точности равен нулю. При малейшем, бесконечно малом, отклонении от этого условия формулы (1) и (2) уже не совпадают, вследствие чего возникает возможность отличить движение источника от движения приёмника. Вследствие этого сама запись релятивистского эффекта Доплера с учётом cosφ не имеет смысла, так как делает его не соответствующим постулатам СТО при cosφ  1. В таких условиях считать релятивистский эффект Доплера физическим законом, который можно использовать на практике, невозможно.      


Точное совпадение формул (1) и (2) позволяет равноправно выбрать в качестве формулы для эффекта Доплера формулу (2), также полагая в ней, исходя из принципа относительности Эйнштейна, скорость v как скоростью источника, так и приёмника. Несмотря на полное равноправие, формула (2) в теории относительности не рассматривается. Причина этого становится очевидной при анализе поперечного эффекта Доплера, возникающего, как утверждается в СТО, при значении угла φ = 900. В этом эффекте, если использовать формулу (1), получается всегда красное смещение, вне зависимости от того, что движется, источник или приёмник (так как скорость u может быть скоростью и источника, и приёмника):

                                                             (3)

а если использовать формулу (2), тогда смещение будет всегда фиолетовым:

                                                                (4)


Для релятивистского эффекта Доплера Эйнштейн выбрал формулу для движущегося источника (1), дающую для поперечного эффекта Доплера (3) всегда красное смещение. Этот выбор понятен, так как формула (2), получаемая для движущегося приёмника и дающая всегда фиолетовое смещение (4), предполагает движение света относительно приёмника со скоростью, отличной от с, что явно противоречит альтернативной формулировке второго постулата СТО и гипотезе Эйнштейна о несложении скоростей света и источника. Именно поэтому в СТО «забыта» формула (2).


Данный факт, когда при φ = 900 формулы релятивистского эффекта Доплера (1) и (2), переходящие в формулы (3) и (4) поперечного эффекта Доплера, не только не соответствуют принципу относительности Эйнштейна, но и дают качественно противоположные результаты, определяя разные типы смещения, является доказательством ошибочности введения релятивистского сокращения времени в формулы эффекта Доплера для звука с целью получения релятивистского эффекта Доплера для света. Две равноправные формулы (1) и (2) одной и той же теории, полученные для движущегося источника и приёмника соответственно, не могут давать противоположные результаты и, тем самым, неоднозначно определять тип смещения. Если это происходит, значит исходное предположение о том, что на эффект Доплера для света влияет релятивистское сокращение времени в источнике или приёмнике света, является ошибочным.


Опять же возникает вопрос: при множественности наблюдателей, находящихся в разных ИСО, движение источника относительно какого именно наблюдателя определит то единственное значение скорости, соответствующее единственно существующему течению времени в источнике? Очевидно, что такого наблюдателя невозможно найти с позиций теории относительности, отрицающей существование эфира и возможность установления абсолютной скорости движения тела как скорости относительно эфирной среды. Поэтому предположение о том, что скорость движения источника света, определённая относительно какого-либо наблюдателя или приёмника, считающегося неподвижным, определяет истинное течение времени в источнике, является полнейшим произволом, недопустимым в науке.


ПРОДОЛЖЕНИЕ ЧИТАЙТЕ ВО ВТОРОЙ ЧАСТИ СТАТЬИ